par kursiem
kursu struktūra
jaunumi
reflektantiem
nodarbību saraksti
konkursi un uzdevumi
jautājumi un atbildes
iespieddarbi
absolventi
links, downloads
uz galveno
programmēšanas pamatnodaļa
(8.-12.klases)
programmēšanas sākumnodaļa (4- 8. klases)
lietišķa nodaļa
(5.-12.klases)
matemātiska nodaļa
lektorijs
elites grupas
pēdējie
arhīvs
uzņemšanas noteikumi
reflektantu reģistrācija
izmēģinājuma testēšana on-line
iestājušies un kandidāti
uz sākumnodaļu
uz pamatnodaļu
programmēšanas sākumnodaļa
programmēšanas pamatnodaļa
lietišķa nodaļa
programmēšanas sākumnodaļa
programmēšanas pamatnodaļa
lektorijs un matemātiska nodaļa
lietišķa nodaļa
olimpiādes
uzdevumi
konkursi
Kursu darbs
Trivium
citi
absolventu reģistrācija
absolventu saraksts
konkursi un uzdevumi > uzdevumi > 2. līmeņa mattests >
1.
Taisnstūra istabas izmērs ir 11 metri reiz 12 metri. Ir divi vienādi taisnstūrveida paklāji ar izmēru 7 metri reiz 10 metri. Kādu vislielāko istabas platību var nosegt ar šiem paklājiem? Paklāju malām jābūt paralēlām istabas sienām. Paklāji var pārklāties.
110 m2
116 m2
122 m2
126 m2
Risinājumu A-D vidū pareizās atbildes nav
neatbildēt
2.
Ņemam trīs taisnstūra papīra lapas: vienu ar izmēriem 6 cm reiz 25 cm, otru – 50 cm reiz 5 cm, trešo - 16 cm reiz 11 cm. Lapas sagriežam vairākās daļas un no tām saliekam kvadrātu. Atrast iegūtā kvadrāta malas garumu.
24 cm
24,5 cm
25 cm
Risinājumu A-D vidū pareizās atbildes nav
neatbildēt
3.
Divi prāmji atiet vienlaicīgi no upes pretējiem krastiem un šķērso to perpendikulāri krastiem. Prāmju ātrumi ir nemainīgi un atšķirīgi. Prāmji pirmo reizi satiekas 440 m attālumā no tuvākā krastā. Pārpeldot upi, prāmji uz 15 minūtēm piestāj, lai izlaistu un uzņemtu pasažierus, bet pēc tam peld atpakaļ un satiekas otro reizi 160 m attālumā no otra krasta. Noteikt upes platumu.
880 m
1040 m
1160 m
1200 m
Atbildi dot nav iespējams - nepietiek doto lielumu
neatbildēt
4.
Ir doti kausu svari un piecu atsvaru komplekts ar 3g, 6g, 8g, 10g un 47g smagiem atsvariem. Atsvarus drīkst novietot uz abiem svaru kausiem. Kādu mazāko veselā skaitā ņemtu gramu daudzumu nevar nosvērt uz svariem ar vienu svēršanu?
15
17
20
25
Risinājumu A-D vidū pareizās atbildes nav
neatbildēt
5.
Maiņas automāts maina vienu monētu pret piecām monētām. Sākumā ir divas monētas. Pēc nedaudz maiņām ieguva vairāk kā 175 monētas, bet ne vairāk par 180 monētām. Cik monētu ieguva?
176
177
178
179
Atbildi dot nevar - nepietiek doto lielumu.
neatbildēt
6.
Divi autobusi izbrauc no centrālā laukuma (punkts C) pulksten 6 no rīta. Pirmais autobuss aizbrauc līdz savam galapunktam A 10 minūtēs, tad apgriežas un atgriežas punktā C 14 minūšu laikā un tā tālāk. Otrais autobuss aizbrauc līdz savam galapunktam B 13 minūtēs, tad apgriežas un atgriežas punktā C 14 minūšu laikā un tā tālāk. Pašlaik pulkstenis ir 12 dienā. Pēc cik minūtēm autobusi vienlaicīgi atradīsies savos galapunktos: pirmais – A, otrais – B?
38
58
68
86
Risinājumu A-D vidū pareizās atbildes nav
neatbildēt
7.
Zivs aste sver 150 g, galva tik, cik aste un puse no ķermeņa, bet ķermenis tik, cik galva un puse no astes. Cik gramu sver zivs?
515
975
1050
1200
Risinājumu A-D vidū pareizās atbildes nav.
neatbildēt
8.
Kastē atrodas 7 melni kreisās kājas zābaki, 8 brūni kreisās kājas zābaki, 9 melni labās kājas zābaki un 10 brūni labās kājas zābaki. Vairāk nekā kastē nav. Kāds ir vismazākais no kastes uz labu laimi izņemamo zābaku skaits, lai no izņemtajiem zābakiem varētu iegūt vienkrāsainu zābaku pāri (abām kājām) ?
5
9
16
20
A-D vidū pareizās atbildes nav.
neatbildēt
9.
No trim izteicieniem A. 389 * 743 < 715 * 364 B. ja x > 8, tad 5x > 30 C. ja -12a > -2a, tad a < 0 pareizi ir:
tikai A
tikai B
tikai C
tikai A un B
tikai B un C
neatbildēt
10.
Kāda gada aprīlī bija tieši četras otrdienas, tieši četras ceturdienas un tieši četras sestdienas. Kāda nedēļas diena bija šī gada 30.martā?
otrdiena
trešdiena
ceturtdiena
piektdiena
Risinājumu A-D vidū pareizās atbildes nav
neatbildēt
11.
Tev un man kopā 35 gadi. Pašlaik man ir divreiz vairāk gadu, kā tev bija tad, kad man bija tik gadu, cik tev pašlaik. Cik man gadu?
17
18
19
20
Risinājumu A-D vidū pareizās atbildes nav
neatbildēt
12.
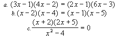
Pie kādas vismazākās n vērtības skaitlis
5
10
15
20
Risinājumu A-D vidū pareizās atbildes nav
neatbildēt
13.
Pie divciparu skaitļa N pieskaitīja skaitli, uzrakstītu ar tiem pašiem cipariem, tikai apgrieztā kārtībā. Summā ieguva 143. Kāda ir skaitļa N vislielākā iespējamā vērtība?
76
82
85
87
Risinājumu A-D vidū pareizās atbildes nav.
neatbildēt
14.
Uz vienas no taisnēm atlikti četri punkti, bet uz otras, paralēlas pirmajai, atlikti trīs punkti. Cik trijstūru ar virsotnēm šajos punktos eksistē?
17
24
30
42
Risinājumu A-D vidū pareizās atbildes nav.
neatbildēt
15.
Katra 2x2x2 cm kuba skaldne sadalīta 4 rūtiņās ar izmēriem 1x1 cm. Kādu lielāko rūtiņās skaitu var aizkrāsot tā, lai nekādām divām aizkrāsotām rūtiņām nebūtu kopīgas virsotnes?
7
6
5
4
Risinājumu A-D vidū pareizās atbildes nav
neatbildēt
rezultāti
par kursiem
|
jaunumi
|
programmēšanas pamatnodaļa
(8.-12.klases)
|
programmēšanas sākumnodaļa (4- 8. klases)
olimpiādes
|
jautājumi un atbildes
|
foto
|
uz galveno
Copyright © 1999-2012 SIA Progmeistars. All rights reserved.